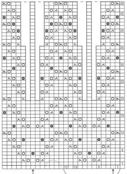
Мудрая мысль: «В каждой петле скрыта история, в каждом узоре — уникальность.» Этот изящный вязаный топ привлекает внимание ажурным узором, создающим легкость и воздушность. Особо выделяется сочетание прохладного голубого оттенка с элегантным шейным платком, которые вместе придают образу утонченность и стиль.
#топ #вязание #женщинам #спицами




